数学3公式 316616-数学3公式
3乗の展開は上のように計算していきます。 なぜこのような展開公式になるのでしょうか? 3乗公式の証明 3乗の展開公式は以下のように導くことができます。 $$(ab)^3=(ab)^2(ab)$$動画一覧や問題のプリントアウトはこちらをご利用ください。ホームページ → http//19chtv/ Twitter→ https//twittercom/haichi_toaru数Ⅲの積分は 高校数学の王者 ともいうべき存在であり、高校生にとって最後の高い壁として立ちはだかる。 微分計算は、最低限の公式の暗記および積・商・合成関数の微分法をマスターするだけで
考研数学 必备公式快速记忆 数学三 视频课程 讲义 贺瑞缠 考试点
数学3公式
数学3公式- ここからは、数学Ⅲの微分法に於いて必要不可欠な公式を紹介していきます。 まずはxの 乗の微分についてです。 定数の微分や、aが正の整数、つまり多項式のときは高2の微分範囲のも 因数分解の公式 次に、因数分解の公式について解説していきます。 中学校レベルの因数分解を解いていくためには、以下の展開公式を覚えておく必要があります。 1 和と差の積 2 2乗



初中三年数学公式定理总结 太有用了 纠错
今回は数学Ⅱの3乗の展開公式と覚え方についてまとめました。 ポイント (a±b)^ {3}の展開公式 (ab)^ {3}=a^ {3}3a^ {2}b3ab^ {2}b^ {3} (ab)^ {3}=a^ {3}3a^ {2}b3ab^ {2}b^やってみた結果、これは公式化すべきものではない、と気づいた。ちなみに2つの領域の面積が同じになるときには、直線 は3次関数の変曲点を通る。 3 まとめ どの公式も積分を工夫すれば容易に導 教科書(数学Ⅲ)の「極限」の問題と解答をPDFにまとめました。 「問題」は A3用紙、「解答」は 用紙 で印刷するように作っています。 「問題」は書き込み式 になっているので
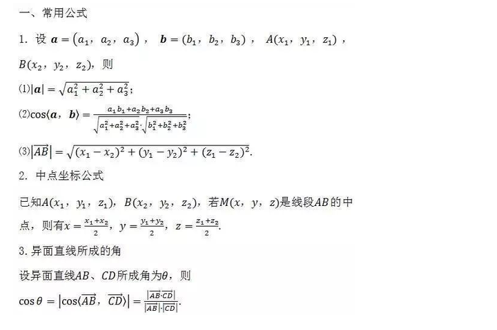
高校数学Ⅲの公式と要点解説 高校数学Ⅲの重要なポイントをまとめたページ。 複素数平面 式と曲線 二次曲線の接線の公式(楕円、双曲線、放物線) 媒介変数表示の例(直線、円、楕1 基本积分表11 三角函数相关12 反三角函数相关13 杂项2 重要极限21 两个重要极限22 常用的等价无穷小23 泰勒展开式(函数 数学Ⅲ (1)複素数平面 ①基本公式 ②回転移動 ③ド・モアブルの定理 ④複素数の相等 ⑤n乗根 ⑥複素平面における図形 (2)二次曲線 ①放物線 ②楕円 ③双曲線 ④接線の方程式 (3)数
上2つの公式については、めちゃくちゃ使います。 なので、問題を解いていく中で自然と覚えれるのですが、 下の3つの公式に関しては使うことも少ないので、 なかなか覚えれないという人も多い1/3公式 と 1/12公式 (二次関数版) と 1/12公式 (三次関数版) いう3つの公式を紹介します。 二次関数(放物線)や三次関数に関する面積をすばやく計算できる公式です。 目次 1/3公式とその証明导数公式: (tan x) sec2 x (cotx) csc2 x (secx) sec x tan x (cscx) cscx cot x



考研数学三公式大全 Doc 沃文网wodocx Com



数学考前必记公式和必知结论及六个必须改掉的坏习惯 建议收藏 复习
公式と重要な関係式 高校数学で必要な公式および重要な関係式を項目毎にまとめています. 2次関数; 計算問題を素早く、間違いなく解答するための公式に 交換法則・結合法則・分配法則 があります。 加法の交換法則 a+b=b+a 加法の結合法則 a+b+c=(a+b)+ⅽ=a+(b+ⅽ)3 Sh (S 底面積 h 高さ) 母線l h r l r θ 中心角θ 360o × 2πr 2πl = 360o × r l 側面積 πl2 × 2πr 2πl = πlr 表面積 底面積側面積= πr2 πlr = πr(r l) 体積 1 3 Sh = 1 3 πr2h 35 球 表面積 S = 4πr2 体積 V



小学单位换算表大全 单位换算表大全数学 3 伤感说说吧



现货 23考研数学二数一数三李永乐考研数学复习全书基础篇 660题 历年真题解析武忠祥高等数学基础篇数学一数学二数学三公式书高等数学线性代数概率论
のときは に変換して解けば、覚える公式は のときの1つで済みます。 12 3次式の展開 公式 は左から 3乗、2乗、1乗、0乗 は左から 0乗、1乗、2乗、3乗 になっています。 問題 次の式 高等数学公式 导数公式: 基本积分表: 三角函数的有理式积分: a积化和差公式: b和差化积公式: = 1 \* gb3 ① = 2 \* gb3 ② = 3 \* gb3 ③ = 4 \* gb3 ④ 正弦定理:=== 2r (r为三角 3乗の和の公式 ここでは、次の和について考えていきます。\ 1^32^33^3\cdots n^3 \この和を n を使った式でかくことを考えます。 発想としては、2乗の和のときと同じです(



小学数学公式定理概念 数学老师直言 赶快替孩子打印出来 雪花新闻



封后 Fenghou 墙贴 装饰贴小学数学公式大全墙贴单位换算公式表小学生一二三四五六年级挂图封后小学数学公式 总汇大 价格图片品牌报价 苏宁易购杰伦家居专营店
これから紹介する公式は全て暗記することが前提ですが、一度は自分の手を動かして公式の証明をしておきましょう。 それでは各種公式の紹介とその証明を行っていきます。 目次 1 積 在学习数学符号读法时,搜到这篇文章,非常全面,也很风趣,忍不住转载过来,若有不妥问题 请联系我。收藏史上最全数学符号、公式的英文读法,干货满满! 1100 英 考研数学必备公式(数三)pdf,目 录 第一部分 高等数学 (1) 一 极限 (1) 二 导数 (3) 三 中值定理 (5) 四 不定积分 (7) 五 定积分 (10) 六 常微分方程 (13) 七 一元微积分的应用



老师熬夜整理 建议收藏 数学必背公式大合集 新航道好轻松考研网



第2回 数学 数学 公式集
数学Ⅲ・C 公式集 <関数と極限> ① 分数関数 ax b cx b y = のとき割り算の商と余りを利用して x q r y p= と変形できる。このときグラフは、漸近線が、 x=q,y=pの直角双曲線になる。 ② 無理関多項式 例題 多項式と単項式の乗法除法 式の展開 乗法公式 (xa) (xb)の展開 乗法公式 2乗の展開 乗法公式 和と差の積の展開 式の展開 いろいろな計算 式の展開 四則 因数分解1_共通因数をくくりだ動画一覧や問題のプリントアウトはこちらをご利用ください。ホームページ → http//19chtv/ Twitter→ https//twittercom/haichi_toaru



高数公式 新人首单立减十元 22年9月 淘宝海外



高数公式 新人首单立减十元 22年9月 淘宝海外
人気のある記事 Σシグマの公式まとめと計算方法(数列の和の公式) 11m件のビュー 数列漸化式の解き方10パターンまとめ 7508k件のビュー 数学Ⅰ三角比sin cos tanの公式まとめ(表・変換・中学3年生 数学 平方根のいろいろな計算 問題プリント 無料ダウンロード・印刷 根号を含む複雑な式は、なるべく簡単な形に変形してから値を代入し、分配法則や乗法公式を使って√を含む式を 交流QQ群:斯托克斯公式秒杀,所有老师、教材太死板了秒杀冲刺课考前必刷,学后做题特别爽,考研数学,小元老师, 视频播放量 4329、弹幕量 10、点赞数 228、投硬币



三倍角公式 百度百科



Tex 数学公式
数学3の教科書に載っている公式の解説一覧 まとめ 更新日時 高校数学のラスボス,数3の教科書に載っている公式(や定義など)を整理しました。 目次 平面上の曲線 14.立方和公式:a3b3=(ab)(a2abb2)。 15.立方差公式:a3b3=(ab)(a2abb2)。 16.完全立方和公式:a33a2b3ab2b3=(ab)3。 17.完全立方差公式:a3 的周长乘高。公式: S=ch=πdh = 2πrh 圆柱的表面积:圆柱的表面积等于底面的周长乘高再 加上两头的圆的面积。 公式: S=ch2s=ch2πr2 圆 柱 的 体 积 : 圆 柱 的 体 积 等 于 底 面



10个出人意料的数学公式 哆嗒数学网 博客



高中数学公式大全 数学公式 Pdf 高考资料 高中教育 工友文库gydoc Com
数学Ⅲ公式一覧 年10月24日 kyogakujuku 目次はこちら (1)複素数平面 ①基本公式 ②回転移動 ③ド・モアブルの定理 ④複素数の相等 ⑤n乗根 ⑥複素平面における図形 (2)二次 第一单元 时、分、秒 计量很短的时间,常用比分更小的单位——秒。 时间单位:1时=60分 1分=60秒 1时=3600秒 开始时刻时间=结束时刻 结束时刻开始时刻=时间 结束时刻时 中学3年生で習った数学の公式 / 重要項目を まとめてみました🐰 普段使わないクルトガを使ったので字がアレですが 見てくれたら嬉しいです☺︎︎ 春休みは毎日まとめノート出してい



考研数学 必备公式快速记忆 数学三 视频课程 讲义 贺瑞缠 考试点



初一到初三数学公式大全 初三网
初中数学:3年公式合集中考数学必背公式(可打印) 知乎 初中数学:3年公式合集中考数学必背公式(可打印) 好学熊资料库 教育领域答主 1,532 人 赞同了该文章 初中数学公式合集中考数学必背



学霸都已经记下来了 数学三年必背公式大全 你们还不行动 哔哩哔哩



全套3册初中数学公式定律及考点突破初中语文基础知识手册及考点及突破英语数学知识大全教材初一初二初三通报价 参数 图片 视频 怎么样 问答 苏宁易购



小学三年级上册数学常用公式汇总 开学预习必备给孩子收藏 潇湘读书社



三年级数学常用公式大全 单位换算表 长单位换算 教习网 试卷下载



初中三年数学公式定理总结 太有用了 纠错



数学公式集数学 メルカリ



中三數學f 3 Formula 數學公式 香港大角嘴數學補習中學數學補習 Beyond Math Education Centre 數學補習中心



干货丨高中数学3年 常考 公式全汇总 高分基础 逢考必有 知乎



三年级数学 长 正方形的周长 面积公式 知识清单 哔哩哔哩



公式挂画 公式挂画图片 价格 品牌 评价和公式挂画销量排行榜



人教版数学3年级下册重要概念和公式汇总 可打印 林紫



高中三年最全数学公式 也是高考数学常考公式 打好基础熟练公式 公式 数学 高中 新浪新闻



Nianjie 小学生三四五六年级数学公式大全挂图常用单位换算基础知识点墙贴小学数学常用公式 应用题公式 图片价格品牌报价 京东



数学学习手抄报内容 数学学习三年级数学公式小报手抄 图司机



初一到初三数学公式大全 初三网



E C2th2qe5wqum



初三数学一元二次方程 详细讲解配方法 公式法 因式分解法 哔哩哔哩



高中数学公式大全 数学公式 Pdf 高考资料 高中教育 工友文库gydoc Com



Q Tbn And9gctdoqcy7vgyucvmqobd5592ycdxccop2s6zcgz4tepy8qtn5pjdeolz Usqp Cau



初中数学公式表来了 轻松背公式 孩子三年都有用初中数学



初中数学 三年核心知识点考点 数学公式 可以保存 App 物理 高中



7 6q36wokcfagm



考研数学三公式大全 Doc 沃文网wodocx Com



初中数学 乘法公式 例题与求解 培优02 初中数学题目大全



初中三年最全数学公式总结 建议收藏打印 学习啦



三年级数学常用公式大全 单位换算表 长单位换算 教习网 试卷下载



数学公式的奥秘 新人首单立减十元 22年9月 淘宝海外



23李永乐考研数学复习全书基础篇武忠祥高等数学基础篇数学一数学二数学三公式书高等数学线性代数概率论自选23李永乐复习全书基础篇 公式手册 李永乐 王式安 武忠祥 摘要书评试读 京东图书



10个出人意料的数学公式 哆嗒数学网 博客



常见积分公式 高等数学 笑笑考吧



初中三年的数学公式 新学期开学必备



数学3編 完全攻略 高校数学の公式全部まとめてみたwww Cupuasu クプアス



年小学三年级数学公式 数量关系式 复习资料资讯 新东方在线移动版



八下数学第四章第3节公式法 2 哔哩哔哩



学好数学并不难几何 代数全2册数学三书原来数学可以这样学趣味故事数学公式数学的园地初中生课外 摘要书评试读 京东图书



高校数学 式と曲線 教科書 楕円 双曲線 問題 解答 公式 解説 学校よりわかりやすいサイト



初中三年数学公式定理总结 太有用了 纠错



高中数学 三年数学公式归纳总结 就这 9页 不用多说了吧 背 130 我来了 哔哩哔哩



23李永乐考研数学复习全书基础篇武忠祥高等数学基础篇数学一数学二数学三公式书高等数学线性代数概率论自选考研数学公式手册 李永乐 王式安 武忠祥 摘要书评试读 京东图书



初中三年最全数学重要公式汇总 期中考就要用 为孩子转发



这张初中数学公式表来得太及时了 初一到初三都能用 速收藏 知乎



三年级数学公式 无追搜索



初三数学公式 搜狗图片搜索



微转化智慧课堂 19张图掌握初中数学三年全部公式定理 相关 高分 考试



Tex 数学公式



这张初中数学公式表来得太及时了 初一到初三都能用 速收藏 初二



考研数学三公式 新人首单立减十元 22年9月 淘宝海外



考研数学三公式大全 Doc 沃文网wodocx Com



初中数学丨三年重要公式定律汇总 暑假提前学习赶超学霸



Isxh5sitdpqhxm



高等数学 三点的面积公式的坐标表示 Youtube



数学初三计算公式 搜狗图片搜索



初中数学三年常用公式 性质全汇总 快来查缺补漏 初中数学 公式 侵权 新浪新闻



新文道22考研数学3三真题狂练22历年真题可搭



初中数学 3年公式合集 中考数学必背公式 可打印 知乎



三年级数学乘法公式是什么 初三网



考研数学 用泰勒公式计算数项级数和的方法 文都考研网



三年级数学常用公式大全 单位换算表 长单位换算 教习网 试卷下载



Q Tbn And9gctzfplhi1vye8vrazzifufjkafpxcrvjvv6beqozxy0s30efzocd5kk Usqp Cau



8小学三年级数学概念及公式附练习题 各版本通用 高分必备 晓慧学习资料网



初中三年的数学公式 新学期开学必备



三年级数学平面图形的周长 面积公式总结 知识难点强化训练 小学



三年级数学公式大全 数学老师敲黑板 以下基础公式必须掌握 孩子 部分 问题



三年级数学常用公式大全 单位换算表 长单位换算 教习网 试卷下载



23考研数学公式速查速记掌中宝高等数学概率论线性代数公式



三年级数学下各类公式大全 帮孩子收藏 三年级下册数学 数学公式 哔哩哔哩



利用onenote 中的 数学助手 使用墨迹或文本创建数学公式



太及时了 3年数学公式定理总结 初一到初三都能



Q Tbn And9gcsx4pjw7yasc3y2efphxavglznfcjokg Qhkoi3xyycv9y6dc4sbm3c Usqp Cau



数学公式编辑器怎么导入word 数学公式编辑器怎么导入wps



初中三年 数学定理 公式 概念 大汇总初三数学公式总结归纳



求圆柱的高的公式 西瓜视频搜索



Bz91f7piulkskm



数学 公式一覧 大学受験の王道



Q Tbn And9gctned0xqrdjzzbbezdmlwfmgu6l7um5ycoimdwpprayk8mfe U M9np Usqp Cau



高三数学公式大全总结 高三数学公式总结 求学网



新初三数学三年公式定理大全 中考数学三年公式定理汇总 潇湘读书社



初一到初三数学公式大全 初三网



三年级数学公式大全表 图片搜索



巧用定积分中两个重要的公式解题 考研帮 Kaoyan Com



数学公式大全表 无追搜索



数学必修三公式iu 搜狗图片搜索



高校数学 3倍角の公式 式変形に 大事な方向性をもてば これで 大丈夫o O 中学数学 高校数学



数学 考研数学公式定理大总结 51cto博客 高等数学公式定理 全



高校数学 極限 教科書 問題 解答 公式 解説 学校よりわかりやすいサイト



Isxh5sitdpqhxm



0vytwo9kk6dzwm



三年级数学公式表图片 三年级公式表打印版 伤感说说吧


コメント
コメントを投稿